Действующее вещество
Полиоксины
Входит в состав препаратов
Молекулярная масса
315.24
Химический класс
Механизм действия
Chitin Synthase
Inhibitors of chitin biosynthesis by block of enzyme the chitin synthase
FRAC
19
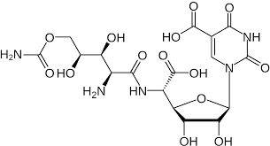
Структурная формула
Информация от PubChem
Молекулярная формула:
C11H13N3O8
Точная масса:
315.070264
InChi идентификатор:
InChI=1S/C11H13N3O8/c12-4(2-15)7-5(16)6(17)9(22-7)14-1-3(10(19)20)8(18)13-11(14)21/h1-2,4-7,9,16-17H,12H2,(H,19,20)(H,13,18,21)/t4?,5-,6+,7+,9+/m0/s1
InChi ключ:
YEBIHIICWDDQOL-YBHNRIQQSA-N
IUPAC:
1-[(2R,3R,4S,5R)-5-(1-amino-2-oxoethyl)-3,4-dihydroxyoxolan-2-yl]-2,4-dioxopyrimidine-5-carboxylic acid
LogP:
Коэффициент распределения октанол/вода (LogP) = -5 указывает на то, что пестицид очень хорошо растворим в воде и плохо в органических растворителях, таких как октанол. Это означает, что препарат будет легко перемещаться в водной среде, но слабо связываться с почвой и растительными маслами. В результате, в растениях он может быстро перемещаться, но также есть риск вымывания в воду, что может привести к потере эффективности и загрязнению водоемов.-5.000000
TPSA:
Топологическая полярная поверхность (TPSA) — это показатель, который описывает уровень полярности молекулы. Значение TPSA = 179 означает, что молекула имеет достаточно высокий уровень полярности, что может ограничивать её способность проходить через клеточные мембраны растений. Это важно для агрономов, так как высокая полярность может снижать эффективность пестицида, особенно если нужна быстрая система доставки в клеточные структуры растения.179.000000
Количество доноров водородных связей:
5.000000
Количество акцепторов водородных связей:
9.000000
Количество вращающихся связей:
4.000000
Молекулярная сложность:
Уровень молекулярной сложности пестицида 562 означает, что его структура довольно сложна и содержит множество атомов и химических связей.
Для сельского хозяйства это значит, что:
1. **Стабильность**: Пестицид с высокой молекулярной сложностью может быть более устойчив к разложению, что позволяет ему дольше действовать на вредителей. Это важно для того, чтобы обеспечить его эффективность на поле.
2. **Разложение**: Сложные молекулы могут медленнее разлагаться в окружающей среде, что может быть как плюсом (длительный эффект действия), так и минусом (может накапливаться в почве или воде).
Фермерам стоит учитывать эти факторы при выборе и применении препаратов, чтобы обеспечить их эффективность и минимизировать негативное влияние на экологию.562.000000
Количество тяжелых атомов:
22.000000
Моноизотопная масса:
315.070264
Синонимы и названия:
Polyoxin; Polyoxins; C23H32N6O14; LS-118149
Молекулярная масса:
315.240000
Заряд молекулы:
0.000000
На других языках
Английский:
Polyoxins
Препараты
Препараты имеющие регистрацию на действующее вещество Полиоксины в России, составлено gEPA
Препараты+
Препараты имеющие регистрацию на действующее вещество Полиоксины в Мире, составлено gEPA
Список всех препаратов на действующее вещество Полиоксины
Таблица составлена при помощи нейросети gEPA.
Информация приведена по состоянию на 19 марта 2026 г. г..
Фильтр
Подождите пожалуйста, формируется таблица...
| Препарат | Регистрант | Действующее вещество | Стоимость, ₽ | Норма применения | Сроки выхода (ручных) |
|---|
Список препаратов в Мире на действующее вещество Полиоксины
Таблица составлена при помощи нейросети gEPA.
Фильтр
Подождите пожалуйста, формируется таблица...
| Препарат | Регистрант | Тип | Страна | Мин. норма | Макс. норма | Кратность обработок |
|---|
Справочники у вас в кармане! Больше не нужно листать десятки сайтов.
Устали искать актуальную информацию по препаратам? GOLD решает это!
Наша нейросеть gEPA сделала для вас: собрала информацию, проверила и структурировала данные в удобные справочники по пестицидам, удобрениям и семенам.
Можно подобрать по названию, культуре, действующему веществу или вредителю — всегда быстро и точно.
Всё работает даже без интернета и постоянно обновляется. Сохраняйте данные из справочников прямо в свои заметки и дополняйте своими исследованиями!
Оформите GOLD и получите доступ к базе знаний 24/7.
Устали искать актуальную информацию по препаратам? GOLD решает это!
Наша нейросеть gEPA сделала для вас: собрала информацию, проверила и структурировала данные в удобные справочники по пестицидам, удобрениям и семенам.
Можно подобрать по названию, культуре, действующему веществу или вредителю — всегда быстро и точно.
Всё работает даже без интернета и постоянно обновляется. Сохраняйте данные из справочников прямо в свои заметки и дополняйте своими исследованиями!
Оформите GOLD и получите доступ к базе знаний 24/7.